统概
全概率与贝叶斯公式
EZ
跳过,若有难题后看
技巧
求至少一个存在的概率:加奇减偶
离散型
例1

取值和概率离散相关
(2)所有概率加一起为1
(3)将x列平方,并将平方后相等的内容合并
(4)期望:x对应数值乘P对应数值
DX:
例2

(1)边缘分布律:
每列各数相加,
每行各数相加,
获得了两个1维小表就是x和y的边缘分布律:
(2)判断独立性的方法:
在二维表中, 选取数字,x和y相乘,是否等于 这个数字
具体写法
(3)求z=xy的分布律:
就是将x数值和y数值相乘,整合成一维表即可
一维连续型
公式1

例题1

积分结果就是需要求的概率:
推论1:

例题2
特征:密度函数!!!!!!!!!且求的是未知数
如果是分布函数F(x)只需要求区间端点相等即可!!!!!!!!
公式2

例题3

小于等于需要加上等于此值得概率
推论2
基于公式2
由
可得
例题4

前两个是推论,后面两个是条件
综合公式1和2
推论3:

推论4:

例题5
求积分,F-->f
例题6
求导数,f-->F
大综合公式

综合题目
FY(Y)的意思是P{Y<y}的意思
f求法
公式3
连续型求EX和DX
例8

二维连续型


推论1:

例2:

最难超级综合
前置公式
例3:

公式2
边缘概率密度
例题4:

公式3
独立性判断
例5:

公式4
期望、方差
例6:

协方差
公式1

例题1:
离散
连续
公式2
XY是否相关
例2:

公式3
协方差相关系数
先求Cov(X,Y)再求方差
矩估计

例1:
最大似然估计


题型
第二章
1. 比较难的古典概型,两次投骰子问题

把得到小的点数的事件分解为两种事件相加,第一种是两次都是一个数字,另外就是两次恰有一个此数字。
第一种无争议:1/6*1/6
第二种:先选一个最小数1/6,再选比次数大的任意数字,最后C12在两次投骰子中选取一次作为此数字,答案如图
2. 已知概率密度求分布函数,即是已知f(x)求F(x)
易混淆点:
(1). 不能简单直接使用不定积分,这个需要以(-∞,x)为积分上下限进行定积分
(2). 由于所有分段区间都需要积分(-∞,x)区域,注意积分范围是否跨越需要计算的区域,则需要先对其范围积分出来,再与你所计算的区间的积分进行相加

3. 正态分布问题
记住公式与表格



概率的更多细节
一个分布函数F(Y)是另一个分布函数F(X)的函数,那么F(Y)可以由F(X)进行表示
答案:
小小知识点

偶函数对称积分区间,
加一个x就是奇函数了,奇函数直接是0
另一题也用了同样的方法
第三章
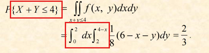
1. 由概率密度花样求P
(1) 求概率P在规定X和Y或者只规定X或者Y的概率
(2)只规定X或者Y的概率,未规定的变量用定义域即可
(3)以不等式规定的内层需要规定交换,外层为定义域,内层为交换后的关系
2. 求边缘分布律

分布函数 直接带入定义域即可,求谁谁就是未知数x或y,另外就是定义域
3. 求边缘分布律---边缘概率密度

求积分即可,注意积分范围需要结合xy两个定义域,综合写出
边缘概率密度的定义域结合原定义域画图写出来
4. 由单个边缘概率密度反求XY联合概率密度 
小知识点:均匀分布意思如图
例如:面积得1,然后连续均匀分布于0到1上
5. 卷积公式Z=X+Y

小知识点:
卷积公式
解答:
第四章
1. 随机变量分布律的期望存在问题
小知识点:数学期望对应的是绝对是收敛


2. 期望的实际问题

本题目主要不同在于,存在隐藏的第二个随机变量,两者仅联系在于:第一个的变量的0到1的概率,以及大于1的概率,作为第二个隐藏的离散型随机变量的概率,而题目目标在于第二个随机变量的期望的数值!
3. 实际问题2
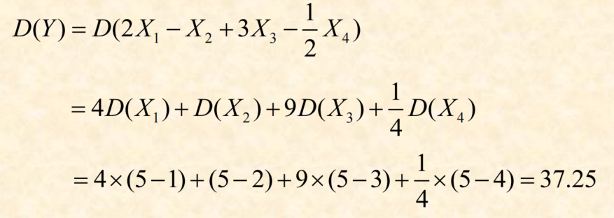
小知识点:数学期望不可以进行非线性运算
小知识点:关于期望的原始公式
其中g(x)是关键的,关于f(x)的函数,如果求原始的fx的期望直接赋值g(x)为x,如果要求关于f(x)函数的期望,则需要g(x)赋值为f(x)的函数,x设置为f(x)所代表的含义内容
小小知识点:立方差公式
小知识点:
括号左边的数字代表期望EX,右边的代表方差DX
小知识点:DX运算的需要提出系数的平方到前面,如图


数理统计精讲
1. 求样本均值,样本方差,样本标准差

2. 求统计量的期望和方差

n为样本个数
泊松分布
参数为n,Ex和Dx就等于几
3. 三种分布
